Can You Become Resistant To Penicillin . people do not become resistant to antibiotics. Instead, bacteria naturally develop mechanisms that make it difficult. Some bacteria can naturally resist certain kinds of antibiotics. Ar has the potential to affect people at any stage of life, as well as the healthcare, veterinary and agriculture industries. we often refer to bacteria becoming resistant to antibiotics but we very rarely think about what this means. Antimicrobial resistance (ar) happens when germs develop the ability to defeat the drugs designed to kill them. antimicrobial resistance (amr) occurs when bacteria, viruses, fungi and parasites change over time and no longer respond to medicines making. that's called antibiotic resistance. Antibiotics are no longer routinely used to treat infections. This makes it one of the world's most urgent public health problems.
from www.studypool.com
This makes it one of the world's most urgent public health problems. Ar has the potential to affect people at any stage of life, as well as the healthcare, veterinary and agriculture industries. that's called antibiotic resistance. antimicrobial resistance (amr) occurs when bacteria, viruses, fungi and parasites change over time and no longer respond to medicines making. people do not become resistant to antibiotics. Instead, bacteria naturally develop mechanisms that make it difficult. Some bacteria can naturally resist certain kinds of antibiotics. we often refer to bacteria becoming resistant to antibiotics but we very rarely think about what this means. Antimicrobial resistance (ar) happens when germs develop the ability to defeat the drugs designed to kill them. Antibiotics are no longer routinely used to treat infections.
SOLUTION Penicillinase resistant penicillins Studypool
Can You Become Resistant To Penicillin Ar has the potential to affect people at any stage of life, as well as the healthcare, veterinary and agriculture industries. Some bacteria can naturally resist certain kinds of antibiotics. antimicrobial resistance (amr) occurs when bacteria, viruses, fungi and parasites change over time and no longer respond to medicines making. that's called antibiotic resistance. Instead, bacteria naturally develop mechanisms that make it difficult. Antibiotics are no longer routinely used to treat infections. This makes it one of the world's most urgent public health problems. Ar has the potential to affect people at any stage of life, as well as the healthcare, veterinary and agriculture industries. Antimicrobial resistance (ar) happens when germs develop the ability to defeat the drugs designed to kill them. people do not become resistant to antibiotics. we often refer to bacteria becoming resistant to antibiotics but we very rarely think about what this means.
From study.com
Quiz & Worksheet Penicillin Resistance Can You Become Resistant To Penicillin Instead, bacteria naturally develop mechanisms that make it difficult. antimicrobial resistance (amr) occurs when bacteria, viruses, fungi and parasites change over time and no longer respond to medicines making. This makes it one of the world's most urgent public health problems. people do not become resistant to antibiotics. Antibiotics are no longer routinely used to treat infections. Some. Can You Become Resistant To Penicillin.
From www.slideserve.com
PPT Bacterial transformation PowerPoint Presentation ID5812934 Can You Become Resistant To Penicillin Ar has the potential to affect people at any stage of life, as well as the healthcare, veterinary and agriculture industries. that's called antibiotic resistance. Antimicrobial resistance (ar) happens when germs develop the ability to defeat the drugs designed to kill them. This makes it one of the world's most urgent public health problems. Some bacteria can naturally resist. Can You Become Resistant To Penicillin.
From www.slideserve.com
PPT Antibiotic Overuse & Resistance PowerPoint Presentation ID1194189 Can You Become Resistant To Penicillin Antibiotics are no longer routinely used to treat infections. that's called antibiotic resistance. This makes it one of the world's most urgent public health problems. Some bacteria can naturally resist certain kinds of antibiotics. Ar has the potential to affect people at any stage of life, as well as the healthcare, veterinary and agriculture industries. we often refer. Can You Become Resistant To Penicillin.
From www.assignmentexpert.com
Penicillin Resistance in Bacteria Can You Become Resistant To Penicillin we often refer to bacteria becoming resistant to antibiotics but we very rarely think about what this means. antimicrobial resistance (amr) occurs when bacteria, viruses, fungi and parasites change over time and no longer respond to medicines making. This makes it one of the world's most urgent public health problems. that's called antibiotic resistance. Ar has the. Can You Become Resistant To Penicillin.
From www.slideserve.com
PPT Chemotherapeutic Agents PowerPoint Presentation, free download Can You Become Resistant To Penicillin Instead, bacteria naturally develop mechanisms that make it difficult. Antibiotics are no longer routinely used to treat infections. This makes it one of the world's most urgent public health problems. Ar has the potential to affect people at any stage of life, as well as the healthcare, veterinary and agriculture industries. we often refer to bacteria becoming resistant to. Can You Become Resistant To Penicillin.
From www.testing.com
Antibiotic Resistance in Bacteria Can You Become Resistant To Penicillin people do not become resistant to antibiotics. that's called antibiotic resistance. Some bacteria can naturally resist certain kinds of antibiotics. antimicrobial resistance (amr) occurs when bacteria, viruses, fungi and parasites change over time and no longer respond to medicines making. This makes it one of the world's most urgent public health problems. Antibiotics are no longer routinely. Can You Become Resistant To Penicillin.
From www.slideserve.com
PPT Medicinal Chemistry2 PowerPoint Presentation, free download ID Can You Become Resistant To Penicillin Antimicrobial resistance (ar) happens when germs develop the ability to defeat the drugs designed to kill them. that's called antibiotic resistance. people do not become resistant to antibiotics. we often refer to bacteria becoming resistant to antibiotics but we very rarely think about what this means. Some bacteria can naturally resist certain kinds of antibiotics. Ar has. Can You Become Resistant To Penicillin.
From www.aljazeera.com
Global shortage of penicillin Reasons and consequences Al Jazeera Can You Become Resistant To Penicillin Antibiotics are no longer routinely used to treat infections. Ar has the potential to affect people at any stage of life, as well as the healthcare, veterinary and agriculture industries. Some bacteria can naturally resist certain kinds of antibiotics. antimicrobial resistance (amr) occurs when bacteria, viruses, fungi and parasites change over time and no longer respond to medicines making.. Can You Become Resistant To Penicillin.
From onlinepublichealth.gwu.edu
How Bacteria Build Resistance at the Cellular Level Online Public Health Can You Become Resistant To Penicillin we often refer to bacteria becoming resistant to antibiotics but we very rarely think about what this means. Antibiotics are no longer routinely used to treat infections. people do not become resistant to antibiotics. Instead, bacteria naturally develop mechanisms that make it difficult. that's called antibiotic resistance. Ar has the potential to affect people at any stage. Can You Become Resistant To Penicillin.
From www.beaumont.org
What is Antibiotic Resistance and Why You Should Care Corewell Health Can You Become Resistant To Penicillin Instead, bacteria naturally develop mechanisms that make it difficult. that's called antibiotic resistance. Antimicrobial resistance (ar) happens when germs develop the ability to defeat the drugs designed to kill them. Ar has the potential to affect people at any stage of life, as well as the healthcare, veterinary and agriculture industries. This makes it one of the world's most. Can You Become Resistant To Penicillin.
From www.slideserve.com
PPT medicines and drugs PowerPoint Presentation, free download ID Can You Become Resistant To Penicillin Instead, bacteria naturally develop mechanisms that make it difficult. we often refer to bacteria becoming resistant to antibiotics but we very rarely think about what this means. people do not become resistant to antibiotics. This makes it one of the world's most urgent public health problems. Some bacteria can naturally resist certain kinds of antibiotics. Ar has the. Can You Become Resistant To Penicillin.
From www.slideserve.com
PPT MRSA Methicillin resistant Staphylococcus Aureus PowerPoint Can You Become Resistant To Penicillin that's called antibiotic resistance. antimicrobial resistance (amr) occurs when bacteria, viruses, fungi and parasites change over time and no longer respond to medicines making. Ar has the potential to affect people at any stage of life, as well as the healthcare, veterinary and agriculture industries. Antimicrobial resistance (ar) happens when germs develop the ability to defeat the drugs. Can You Become Resistant To Penicillin.
From www.youtube.com
Mechanism of action of penicillins/ bacterial resistance against Can You Become Resistant To Penicillin Ar has the potential to affect people at any stage of life, as well as the healthcare, veterinary and agriculture industries. Antimicrobial resistance (ar) happens when germs develop the ability to defeat the drugs designed to kill them. Instead, bacteria naturally develop mechanisms that make it difficult. Some bacteria can naturally resist certain kinds of antibiotics. that's called antibiotic. Can You Become Resistant To Penicillin.
From www.slideserve.com
PPT medicines and drugs PowerPoint Presentation, free download ID Can You Become Resistant To Penicillin Antibiotics are no longer routinely used to treat infections. Some bacteria can naturally resist certain kinds of antibiotics. This makes it one of the world's most urgent public health problems. Instead, bacteria naturally develop mechanisms that make it difficult. Antimicrobial resistance (ar) happens when germs develop the ability to defeat the drugs designed to kill them. we often refer. Can You Become Resistant To Penicillin.
From www.slideserve.com
PPT Antibacterials! PowerPoint Presentation, free download ID6324915 Can You Become Resistant To Penicillin Antibiotics are no longer routinely used to treat infections. we often refer to bacteria becoming resistant to antibiotics but we very rarely think about what this means. Instead, bacteria naturally develop mechanisms that make it difficult. Ar has the potential to affect people at any stage of life, as well as the healthcare, veterinary and agriculture industries. antimicrobial. Can You Become Resistant To Penicillin.
From www.myassignment-services.com
Why Is Bacteria Resistant To Penicillin? Here’s All That You Need To Know Can You Become Resistant To Penicillin Antibiotics are no longer routinely used to treat infections. we often refer to bacteria becoming resistant to antibiotics but we very rarely think about what this means. Instead, bacteria naturally develop mechanisms that make it difficult. This makes it one of the world's most urgent public health problems. that's called antibiotic resistance. Some bacteria can naturally resist certain. Can You Become Resistant To Penicillin.
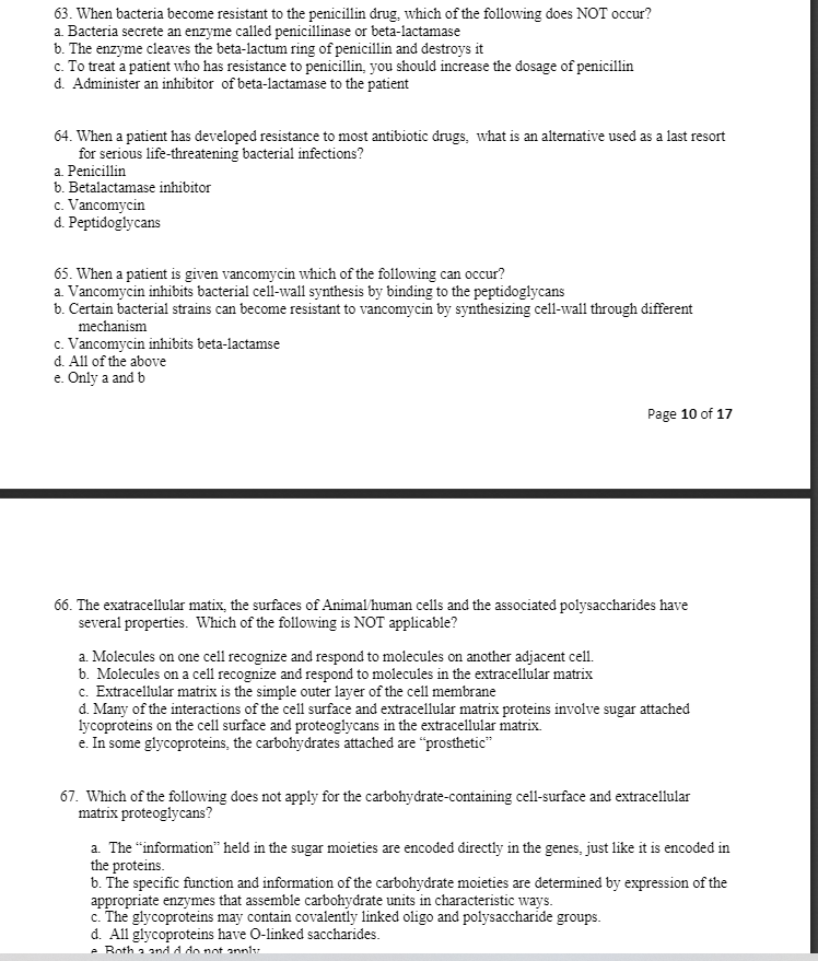
From www.chegg.com
Solved 63. When bacteria resistant to the penicillin Can You Become Resistant To Penicillin Instead, bacteria naturally develop mechanisms that make it difficult. Ar has the potential to affect people at any stage of life, as well as the healthcare, veterinary and agriculture industries. Antimicrobial resistance (ar) happens when germs develop the ability to defeat the drugs designed to kill them. This makes it one of the world's most urgent public health problems. Some. Can You Become Resistant To Penicillin.
From www.slideserve.com
PPT Bacterial transformation PowerPoint Presentation, free download Can You Become Resistant To Penicillin we often refer to bacteria becoming resistant to antibiotics but we very rarely think about what this means. Some bacteria can naturally resist certain kinds of antibiotics. that's called antibiotic resistance. antimicrobial resistance (amr) occurs when bacteria, viruses, fungi and parasites change over time and no longer respond to medicines making. This makes it one of the. Can You Become Resistant To Penicillin.